您的位置: 首页 > 最新资讯 > 国家能源局鼓励各部门做好光伏电站项目储备,利好这些材料 >
11月26日,国家能源局综合司发布《光伏发电开发建设管理办法(征求意见稿)》(下称《办法》)并公开征求意见,进一步优化光伏电站开发建设管理,促进光伏发电行业持续高质量发展。

随着“双碳”目标的不断推进,光伏发电行业的景气度也将持续走高,今天小编就带大家来了解一下光伏材料是什么?光伏组件的原材料有哪些?
光伏材料【solar cell materials】又称太阳能电池材料,是指能将太阳能直接转换成电能的材料。光伏材料能产生电流是因为光生伏特效应,即如果光线照射在太阳能电池上并且光在界面层被吸收,具有足够能量的光子能够在P型硅和N型硅中将电子从共价键中激发,以致产生电子-空穴对。
光伏材料中可做太阳电池材料的材料有单晶硅、多晶硅、非晶硅、GaAs(砷化镓)、GaAlAs(砷化镓铝)、InP(磷化铟)、CdS(硫化镉)、CdTe(碲化镉)等。按应用分类,用于空间的有单晶硅、GaAs、InP;用于地面已批量生产的有单晶硅、多晶硅、非晶硅;其他方面则尚处于开发阶段。
目前在光伏材料领域,各从业者正致力于降低材料成本和提高转换效率,使太阳电池的电力价格与火力发电的电力价格竞争,从而为更广泛更大规模应用创造条件。
『光伏模组封装材料介绍』

光伏模组结构示意图
我们从上到下来看看光伏模组封装所用的材料,首先边框采用的是金属材料,以此来保护层压件,从而起到一定的密封支撑作用,随着技术的发展,金属材料可由塑料替代,如PPO(聚苯醚)+GF(玻璃纤维),此外,索尔维推出的半芳香族聚合物也能用于光伏模组的边框上。
胶膜在光伏组件中的作用为将光伏玻璃、电池片、背板粘在一起,同时起到保护电池片、隔绝空气的作用,在组件中成本占比为3%~4%。
光伏胶膜的种类包括EVA材质胶膜和POE材质胶膜两大类。
1EVA
EVA是由乙烯和醋酸共聚而成的,中文化学名称:乙烯-醋酸乙烯共聚物(乙烯-乙酸乙烯共聚物),其性能主要取决于分子量(可以用熔融指数M1表示)和醋酸乙烯酯(以VA表示)的含量。当M1一定时,VA的含量增高,EVA的弹性、柔软性、粘结性、相溶性和透明性提高;VA的含量降低,EVA则接近于聚乙烯的性能。当VA含量一定时,分子量降低则软化点下降而加工性及表面光泽改善,但强度降低;分子量增大,可提高耐冲击性和应力开裂性。

EVA分子结构式
用一句话概括,EVA是一种共聚物,VA含量高,则倾向于弹性体,热熔胶;如果E含量高,则倾向于塑料(PE)。
封装胶膜采用的是EVA材料,用于晶硅电池中电池片与表面光伏玻璃和电池背板的粘接。因为EVA胶膜具有良好的柔韧性、光学透明性及热密封性,所以成了光伏封装材料的首选。
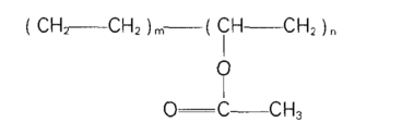
2POE
POE是乙烯和辛烯的共聚物,其中共聚单体辛烯(C8H16)的含量为20%-30%。分子结构中辛烯的存在破坏了乙烯的结晶,但是同时也赋予共聚物优良的透明性和良好的弹性。
在常温下乙烯的结晶作为物理交联点,在高温下乙烯解结晶使共聚物具有塑性。窄的分子量分布使POE具有较高的拉伸强度和抗冲击性等。

POE分子结构示意图
与目前光伏组件制造商最常用的EVA薄膜材料不同,POE薄膜电力性能更好,水蒸汽传递速度更低,耐候性能更好。POE还可大幅降低电势诱发衰减效应(PID),很适合N型电池组件和双层玻璃模块,正变得越来越流行。
『背板材料介绍』
背板(Backsheet)是用在太阳能组件背面,直接与外环境大面积接触的光伏封装材料,其应具备卓越的耐长期老化(湿热、干热、紫外)、耐电气绝缘、水蒸气阻隔等性能。
因此,背膜要在耐老化、耐绝缘、耐水气等方面满足太阳电池组件25年的环境考验,起到封装组件原辅料、保护太阳能组件、隔绝汇流带的作用。

背板所在位置示意图
各厂家的背板虽然其成分各有不同,但核心部分不会变,即PET基体和含氟材料,PET提供力学性能和绝缘性能,氟材料提供阻隔性和耐候性。背板的主要特性靠氟材料来体现,一般来说氟材料无论是复合膜还是涂料,只要加工得当,F元素含量足够,背板的耐侯性和阻隔性都不是问题。
PET(聚对苯二甲酸乙二醇酯),英文名:polyethylene terephthalate,简称PET,俗称聚酯,为高聚合物,由对苯二甲酸乙二醇酯发生脱水缩合反应而来,而对苯二甲酸乙二醇酯是由对苯二甲酸和乙二醇发生酯化反应所得。
PET基材很单一,但要说氟材料,那种类就有很多了。
1PVF
PVF,学名聚氟乙烯,由氟和氟碳分子的共聚体挤压而成的共聚物。做PVF薄膜最有名的是美国杜邦公司,杜邦的注册商标TEDLAR就是现在光伏行业用的最多的PVF薄膜。

2PVDF
PVDF,学名聚偏氟乙烯,是目前含氟材料中产量排名第二的大产品。做PVDF最出名的是法国阿科玛公司,阿科玛的注册商标KYNAR就是现在光伏行业做背板最多的PVDF薄膜。
3THV
THV,四氟乙烯-六氟丙烯-偏氟乙烯共聚物,是美国Dyneon公司在20世纪80年代开发的一种新型含氟材料,应用在3M公司的BBF(THV/PET/EVA)背板上,也是目前唯一的生产厂家,现Dyneon公司已作为3M的子公司开始运作。
4ETFE
ETFE,乙烯-四氟乙烯共聚物,日本旭硝子株式会社研发的ETFE薄膜,由原料到薄膜完全自产,具有良好的耐候性和化学稳定性,不过市场用量并不多,国内背板生产企业,如乐凯公司,有在批量使用。
5ECTFE
ECTFE,乙烯-三氟氯乙烯共聚物,ECTFE是由杜邦公司在1946年开发成功的,目前商品化的产品只有索尔维等极少数公司能提供。ECTFE是乙烯和三氟氯乙烯1:1的交替共聚物,具有典型的氟塑料的耐化学腐蚀性能,没有一种溶剂在120℃下能侵蚀ECTFE或使其应力开裂,而且具有很高的耐候性和阻隔性。